■FEM解析で使用する変形係数について
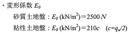
➢変形係数の推定には、E=700Nによる方法やE=2800N(2500N)により推定する方法があります。想定するひずみレベルによって使い分ける必要がありますが、深度によって変形係数を使い分けるわけにもいかず、一律に設定しているのが現状です。推進やシールド工事などの解析では、次の考え方が示されていますので、それぞれの条件で判断する必要があります。・都市部鉄道構造物の近接施工対策マニュアル/鉄道総合技術研究所/平成19年1月(P160)
・シールド工事におけるFEM解析のお願い/東京ガス
※以上より、砂質土E=400N~1000Nが推奨されています。
・トンネル掘削時地盤変状の予測・対策マニュアル/建設省土木研究所/平成6年2月(P-19)
※以上より基本的に砂質土E=700Nが推奨されています。

